computer basics worksheet answers key
Worksheet Computer Basics Crossword Puzzle Answers - worksheet we have 9 Pictures about Worksheet Computer Basics Crossword Puzzle Answers - worksheet like 50 Computer Basics Worksheet Answer Key | Chessmuseum Template Library, Coding Cavekid worksheet and also Computer basics worksheet. Here you go:
Worksheet Computer Basics Crossword Puzzle Answers - Worksheet

crosswords geography worksheets verb oregon crosswordpuzzles riddles zany 3rd
Forces And Motion Scripted

phet scripted unbalanced
Coding Cavekid Worksheet

worksheet coding link
Computer Basics - ESL Worksheet By Jasper5573

Computer Basics Worksheet Answer Key - Worksheet List

algebra aids polynomials subtracting algebra1 gcf
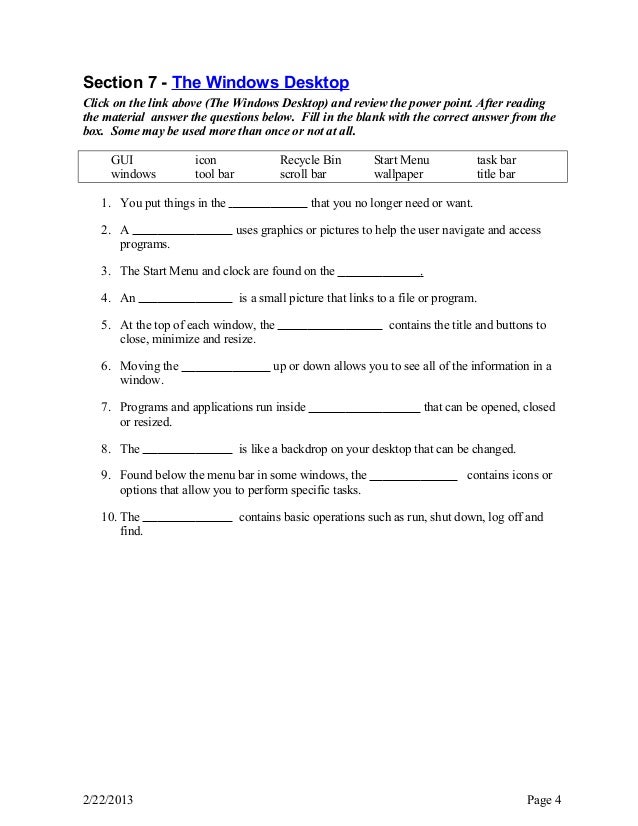
Computer Basics Worksheet

answer
50 Naming Chemical Compounds Worksheet Answers In 2020 | Naming

worksheet compounds ionic naming covalent formula chemistry nomenclature molecules polyatomic dressyourself sliderbase chessmuseum basics
Uses Of COMPUTER

computer uses worksheet liveworksheets classroom
50 Computer Basics Worksheet Answer Key | Chessmuseum Template Library

chessmuseum andrewazzopardi
Worksheet coding link. Computer basics. Worksheet compounds ionic naming covalent formula chemistry nomenclature molecules polyatomic dressyourself sliderbase chessmuseum basics